作者 : 東芝半導體官網
出處 : https://toshiba.semicon-storage.com/tw/company/news/new-products-share/transistor/bipolar-20230621-1d.html
東芝電子元件及存儲裝置株式會社(簡稱“東芝” )現已推出兩款電晶體“TTA2060”和“TTC5712” (採用SC-62封裝:東芝別名PW-Mini )。這兩款產品適用於功率元件中的柵極驅動電路、消費性應用和工業設備中的電流開關以及LED驅動電路。
TTA2060的集極-射極額定電壓和集極額定電流(直流)為-50V/-2A ; TTC5712的集極-射極額定電壓和集極額定電流為50V/3A 。
新產品採用小型貼片式SC-62封裝(東芝別名: PW-Mini )。
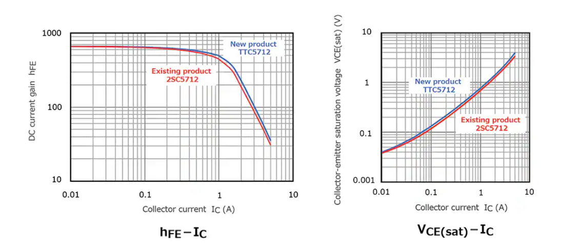
與東芝採用相同封裝方式的現有產品[ 1]相比,新產品的導線材料已由金改為銅,樹脂材料從含鹵素改為不含鹵素,額定值及電氣特性相同。
這有助於減少對環境影響。同時,其易於替代東芝的現有產品[1] 。
注:
[1]2SA2060 , 2SC5712
應用
消費性應用、工業設備
- 功率元件的柵極驅動電路
- 電流開關
- LED驅動電路等
特性
- 大集極額定電流(DC):I C =-2A至3A: I C =-2A至3A
- 小型貼片式SC-62封裝:
4.6mm×4.2mm(最大值),厚度=1.6mm(最大值)

內部電路

應用電路範例
注:
本文所示應用電路僅供參考。
需要進行全面評估,特別是在量產設計階段。
提供這些應用電路示例並不授予任何工業產權許可。
特性曲線(參考)
特性相同。 (新產品TTC5712與現有產品2SC5712的對比)