功率MOSFET管的閾值電壓VGS(th),在數據表中定義的測量條件為:VDS=VGS,ID=250uA,對應測試電路如圖1所示。


功率MOSFET管的柵極與源極之間加上正向驅動電壓VGS,在柵極表面形成正電場,柵極氧化層下面P區的電子就被吸引到P區的上表面;VGS電壓增加,P區內部更多電子被吸引到P區的上表面;正常條件下,P區多子是空穴,少子是自由電子,源極(外加電源負端)的自由電子無法從N型源極通過柵極氧化層下面P區流向N型漏極(外加電源正端),也就是電流無法從漏極通過柵極氧化層下面P區流向源極,如圖2所示。

VGS電壓繼續增加,柵極氧化層下面P區表面的薄層區域,自由電子的濃度繼續增加,自由電子的濃度增加到等於於空穴的濃度,如圖3所示。

VGS電壓進一步增加,柵極氧化層下面P區表面的薄層區域,自由電子的濃度大於空穴的濃度,那麼,在這個表面的薄層區域,從P型變成N型,就形成反型層,這樣,源極自由電子可以從N型源極通過柵極下面薄層反型層N型區流向N型漏極,電流從漏極通過柵極氧化層下面的反型層區流向源極,也就是在P區上表面的薄層區域形成電流導通(導電)溝道,如圖4、圖5所示。




從半導體物理學定義,閾值電壓VGS(th)應該為:在柵極氧化層下面、P阱區的上表面薄層區域,自由電子的濃度等於空穴的濃度時,對應的柵極驅動電壓。理論上,功率MOSFET管內部P阱區上表面薄層區域自由電子的濃度等於空穴的濃度時,VGS=VGS(th),達到反型層形成的臨界條件,器件要開始導通,此時,漏極電流仍然為0。
但是,從明確的物理學定義,VGS從0開始增加、增加到功率MOSFET管內部P阱區上表面薄層區域自由電子的濃度等於空穴的濃度,漏極電流ID一直為0,這樣,無法確定,P阱區上表面薄層區域自由電子的濃度等於空穴的濃度時,VGS所對應的驅動電壓為多少,也就是無法確定閾值電壓VGS(th)到底為多少?
功率MOSFET管是否導通,只能通過是否有漏極電流來判斷。
反型層的形成一個漸變的過程,只要形成漏極電流ID,且ID且足夠小、小到接近於0(可以進行度量,但不是0),此時,在柵極氧化層下面P阱區的上表面薄層區域已經形成反型層(電流導通溝道),那麼,對應的VGS所加驅動電壓也就接近於閾值電壓VGS(th)。 因此,必須定義一個非常小的漏極電流ID,在此條件下,測量出來的VGS驅動電壓即為閾值電壓VGS(th)。
ID到底設置為多少?可以是1uA、50uA、100uA,或其他值,行業內標準通常定義閾值電壓VGS(th)測量電流條件為:ID=250uA。但是,不同廠家、不同型號的功率MOSFET管,測量閾值電壓VGS(th)時,還是會使用不同條件,例如:ID=50uA,ID=100uA,ID=1mA,ID=5mA,等等,特別是在柵極與源極之間增加ESD保護的功率MOSFET管,以及使用輻照或質子注入優化體寄生二極體性能的功率MOSFET管,具體原因大家可以思考。
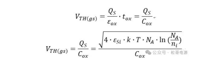
如果忽略其它部分,主要由氧化層承擔柵極電壓,那麼,閾值電壓VGS(th)公式為:

其中,QS為溝道耗盡區電荷,Cox為單位面積柵極氧化層電容,Cox與柵極氧化層厚度成反比;eSi為矽材料的介電常數,k為玻耳茲曼常數,T為溫度,NA為P型參雜濃度(受主參雜濃度),ni 為本徵載流子濃度。
從上述公式,可以得到:閾值電壓VGS(th)值隨柵極氧化層厚度、P型參雜濃度增加而增大。另外,本徵載流子濃度ni 隨溫度增加而增加,那麼,閾值電壓VGS(th)值就會隨溫度增加而降低, 因此,其為負溫度係數。
圖1中功率MOSFET管結構的電流導通(導電)溝道為N型導電溝道,即:反型層從P型變為N型,因此,稱為N溝道功率MOSFET管;反之,則稱為P溝道功率MOSFET管。N溝道功率MOSFET管導電的載流子為自由電子,P溝道功率MOSFET管導電的載流子為空穴,它們內部只有一種載流子導電,所以,功率MOSFET管是單極型導電器件。
Q1 閾值電壓Vgs(th)測量電流條件為多少A?
A1 測量電流條件為:Id=250uA。
Q2 什麼是N溝道功率MOSFET?
A2 導電溝道為N型導電溝道,即反型層從P型變為N型。
Q3關於閾值電壓Vgs(th)的變化?
A3 隨柵極氧化層厚度、P型參雜濃度增加而增大,隨溫度增加需降低。
Q4 功率MOSFET管是否為單極型導電器件?
A4 N溝道功率MOSFET管導電的載流子為自由電子,P溝道功率MOSFET管導電的載流子為空穴,因此為MOSFET為單極型器件。
Q5 多少電流說明MOSFET管開啟了?
A5 業內一般以S極電流250uA判定開啟了。
參考來源