隨著國家「雙碳」政策的推進,大力推廣節能減排技術已在各行業逐步深化。在高能耗的工業應用中,透過變頻器控制電機調速可以節能約15-40%,具有巨大的經濟效益,因此一直是節能減排的重要措施。作為通用變頻器重要的細分產品,690V變頻器主要應用於冶金、石油、造紙、港口大型起重設備和船舶等領域。英飛凌上一代的1700V EconoDUAL™ 3 IGBT4模組已經在690V變頻器中得到了廣泛應用。隨著晶片技術的發展和變頻器系統功率密度的提升,英飛凌基於最新的1700V IGBT7晶片和EC7二極體晶片推出了新一代的EconoDUAL™ 3 IGBT7模組。
產品概述
由於晶片電流密度的提升,IGBT7模組有6個電流等級和8種產品,如下表所示。

■ 更高電流等級:除了與IGBT4的4個電流等級相容,IGBT7還提供750A和900A兩款更高電流等級的產品,可以進一步提升系統的功率密度。
■ 加強反並聯二極體:此外,FF750R17ME7D_B11配置了1200A的反並聯二極體晶片,更適合零功率因數和負功率因數的應用情況,例如SVG,以及使用IGBT模組的AFE整流單元。
■ 直接水冷設計:FF900R17ME7W_B11 的銅基板採用了直接水冷設計,可以進一步提升模組的散熱效率和系統的功率密度。

性能優勢
1700V EconoDUAL™ 3 IGBT7除了擁有更豐富的產品系列和更高的電流等級之外,還有哪些獨特之處可以助力提升690V變頻器的系統價值?且聽我一一分析。
1. IGBT7 的 VCE 飽和電壓更低
以FF600R17ME4_B11和FF600R17ME7_B11為例,當Ic為600A,結溫為150℃時,這兩種元件的IGBT飽和壓降分別為2.45V和1.95V。FF600R17ME7_B11比FF600R17ME4_B11低0.5V,約低20.4%。

2.IGBT7 的動態特性更佳
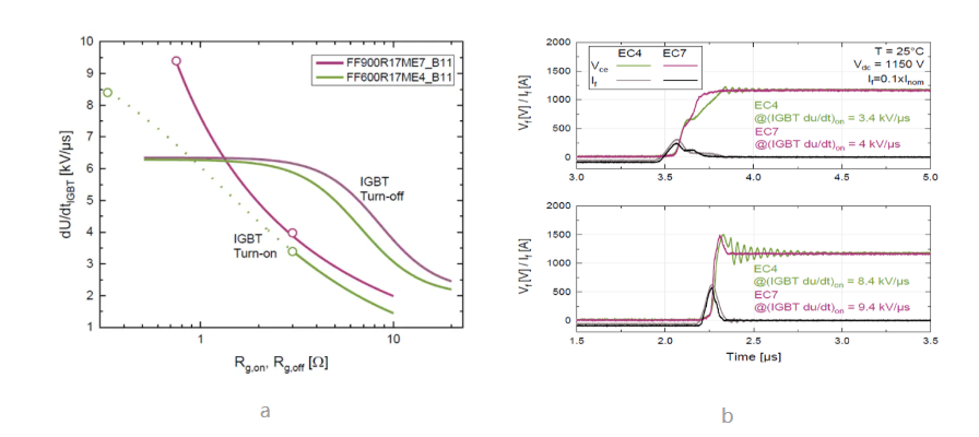
由於EC7二極體晶片的特性較為柔和,IGBT7晶片的開通dv/dt可以更高,開通損耗也更低。在相同的測試平台上,IGBT7模組FF900R17ME7_B11的開通dv/dt最高可達9.4kV/us,而IGBT4模組FF600R17ME4_B11僅為3.4kV/us(綠色實線對應的dv/dt最大值),如圖a所示。主要原因是在圖b中,FF600R17ME4_B11的二極體EC4在3.4kV/us時已經出現了較為明顯的關斷電壓震盪,從而限制了IGBT開通速度的提升。在相同的關斷電阻下,FF900R17ME7_B11的dv/dt比FF600R17ME4_B11更大,有助於降低關斷損耗。

3.IGBT7的工作結溫更高
在下圖a中,IGBT7允許的最高工作結溫為175℃,持續時間t1最長為60秒,占空比D最大最高為20%。當溫度週期T為300秒時,t1最大正好是60秒。此時,IGBT7的結溫時間曲線與變頻器典型的重過載電流時間曲線重合,如下圖c所示,因此可以根據IGBT7的150℃長期結溫和175℃過載結溫來評估變頻器的重過載工況。與下圖b中IGBT4的最高工作結溫150℃相比,IGBT7額外的25℃過載結溫可以進一步提升系統的功率密度。

4. IGBT7 的 EconoDUAL™ 3 的功率端子散熱效果更佳
隨著系統功率密度的提升,EconoDUAL™ 3封裝的交直流功率端子的溫升可能會成為系統設計的瓶頸。為此,新一代的EconoDUAL™ 3封裝優化了內部結構,增加了DCB與功率端子之間的銅綁定線數量,以提升散熱效率,如下圖所示。

5. IGBT7 的 EconoDUAL™ 3 的內部等效電阻更低
此外,如下表所示,IGBT7模組內部連接的歐姆電阻RCC’+EE’,也稱為引線電阻,在常溫下為0.8毫歐,比IGBT4模組的1.1毫歐降低了27.3%,可以減少引線電阻的損耗。
EconoDUAL™ 3 IGBT4 和 IGBT7
模組內部的引線電阻阻值

仿真案例
PLECS 模擬工況:既然IGBT7比IGBT4有這麼多的優勢,那麼它在690V變頻器的產品層面表現如何呢?別急,以下主要以450A電流等級的IGBT7和IGBT4為例,透過電力電子模擬軟體PLECS以及基於規格書的元件熱模型,對這兩種IGBT模組進行詳細的模擬分析。下表為690V逆變器的典型工作參數。

PLECS 模擬結果,輸出電流和結溫:下圖是四種IGBT模組的輸出電流和IGBT晶片結溫的模擬曲線。IGBT4的最高工作結溫是150℃,FF450R17ME4_B11對應的輸出電流為275A。IGBT7的最高工作結溫是175℃,FF450R17ME7_B11對應的輸出電流為343A,比IGBT4高24.7%。同理,FF600R17ME4_B11的輸出電流為302A,FF600R17ME7_B11的輸出電流為380A,比IGBT4高25.8%。在相同輸出電流時,IGBT7的結溫明顯低於IGBT4,且隨著輸出電流的增加,兩者的溫差越來越大。

IGBT7結溫低的原因是損耗低。假設一個IGBT模組的輸出電流為271A,下圖是半個IGBT模組的損耗對比,FF450R17ME4_B11的損耗是325.9W,FF450R17ME7_B11的損耗是246.2W,比FF450R17ME4_B11低24.4%,因此IGBT7模組可以降低系統損耗並提升系統效率。

PLECS 模擬結果,結溫、殼溫和散熱器溫度:下圖是IGBT的結溫、殼溫和散熱器溫度對比,FF450R17ME4_B11的結溫、殼溫和散熱器溫度分別為115.3℃、98.4℃和91.2℃,FF450R17ME7_B11分別為105℃、86.6℃和79.5℃。IGBT7的結溫、殼溫和散熱器溫度比IGBT4低10.3℃、11.8℃和11.7℃,可以提高系統的可靠性。

PLECS 模擬結果,提升輸出電流和開關頻率:IGBT7低損耗和低溫升的優勢有助於提升IGBT的輸出電流或開關頻率(載頻)。在1250Hz、217A輸出的情況下,FF450R17ME4_B11的結溫為115.3℃,FF450R17ME7_B11的結溫為105℃。如下圖所示,如果保持與FF450R17ME4_B11相同的開關頻率和結溫,FF450R17ME7_B11的輸出電流可以增加到240A,增加了23A,10.6%。如果保持與FF450R17ME4_B11相同的輸出電流和結溫,FF450R17ME7_B11的開關頻率可以增加到1750Hz,增加了500Hz,40%。

IGBT7助力690變頻器功率跳檔的PLECS模擬:IGBT7允許的最高工作結溫是175℃,IGBT4是150℃。參考下表690V 200kW和250kW變頻器的額定電流、輕過載電流和重過載電流,透過器件的規格書熱模型和PLECS模擬評估FF450R17ME7_B11是否能實現變頻器的功率跳檔。模擬雖然與真實的變頻器系統有差距,但它能幫助我們快速評估器件性能的表現趨勢。

下表是IGBT4和IGBT7的模擬結溫對比,在不同運行條件下有以下差異:
在額定電流工況下,FF450R17ME4_B11的結溫是115.3℃,距離最高結溫有34.7℃的裕量。FF450R17ME7_B11的結溫是129.6℃,距離IGBT7允許的最高連續運行結溫150℃有21.4℃的裕量。
在110%輕過載工況下,FF450R17ME4_B11的結溫是122.8℃,距離最高結溫有27.2℃的裕量。FF450R17ME7_B11的結溫是135.1℃,距離最高結溫有39.9℃的裕量。
在150%重過載工況下,FF450R17ME4_B11的結溫是118.7℃,距離最高結溫有31.3℃的裕量。FF450R17ME7_B11的結溫是137.2℃,距離最高結溫有37.8℃的裕量。
基於模擬評估結果,從結溫裕量的角度來看,FF450R17ME7_B11滿足250kW變頻器的工況。與FF450R17ME4_B11相比,它可以協助變頻器的功率從200kW擴展到250kW,實現功率跳檔。

總結
本文首先介紹了1700V EconoDUAL™ 3 IGBT7的產品系列和性能特點,接著以1700V 450A IGBT4和IGBT7為例,透過PLECS模擬詳細研究了IGBT7在損耗、溫升和高載頻等方面的優勢。由於IGBT7的最高工作結溫為175℃,模擬結果顯示IGBT7可以實現變頻器的功率跳檔。為了方便大家理解,下圖總結了IGBT7的產品優勢及其對690V變頻器的應用價值。

掃描二維碼,關注英飛凌工業半導體尋找更多應用或產品資訊

評論