歡迎大家收看《凌感TV》電機控制與驅動特輯,在特輯影片的第二集,我們邀請到英飛凌汽車電子事業部大中華區應用工程師耿旭旭為我們介紹。Si IGBT 和 SiC MOSFET 的技術差異。
您還想聽到什麼內容和分享呢?請在留言區告訴我們吧。
Q1
Si和SiC材料特性的主要差異是什麼?

A
有5個因素決定Si和SiC材料在電力電子元件上的性能表現。分別是能隙、擊穿場強、電子遷移率、電子漂移速率和熱傳導係數。
- 寬禁帶可以使元件在更高的溫度下運作;
- 10倍的耐壓可以在相同厚度下實現更高的耐壓能力。
- 更快的電子漂移速率支持更高的工作頻率和更小的開通損耗;
- 3倍的熱傳導係數能帶來更好的散熱能力。這是Si和SiC材料特性的主要差異。

Q2
IGBT和MOSFET的工作原理有什麼不同?

A
IGBT在MOSFET的漏極側增加了高摻雜的P層,從而實現了MOSFET的電壓型閘極控制,同時在相同電壓和電流下實現了更低的導通壓降。
但是SiC比Si的耐壓強,因此SiC MOSFET的厚度可以做得更薄,從而實現損耗的降低。

Q3
Si IGBT和SiC MOSFET在車規使用中的可靠性有哪些差異?

A
相較於矽(Si),碳化矽(SiC)的閘極氧化層挑戰性更高,其外在缺陷密度比矽高出3至4個數量級,其可靠性決定了SiC產品的品質。相較於平面結構,垂直結構的閘極氧化層可以做得更厚,能更有效地提升閘極氧化層的可靠性。

Q4
Si IGBT和SiC MOSFET驅動保護的差異是什麼?

A
首先,在驅動電壓方面,Si IGBT一般採用-7V~15V的驅動電壓,而SiC則通常為-5V~18V,部分廠商的負壓會到-2V,這主要是因為負壓會影響柵極的可靠性,而18V的正壓能有效降低導通壓降。
其次,在短路情況下,Si IGBT 和 SiC MOSFET 的短路失效機制不一樣,SiC MOSFET 的短路能力弱於 Si IGBT,因此需要更低的 DESAT 偵測電壓來實現快速短路偵測,同時短路時間也會更短。
Q5
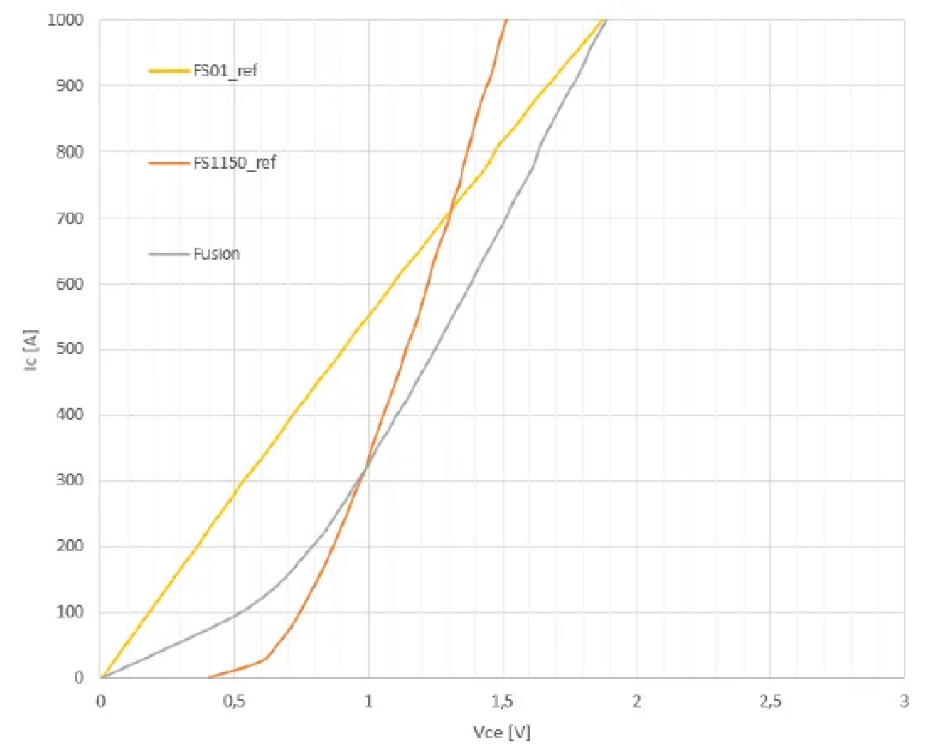
Si IGBT和SiC MOSFET的損耗有什麼不同?

A
MOSFET是阻抗特性,而IGBT導通有個二極體壓降,所以在小電流情況下,SiC MOSFET的導通損耗比Si IGBT的導通損耗小。
同時,SiC MOSFET 的開通速度比 Si IGBT 快,因此開關損耗也較小。這樣綜合下來,SiC MOSFET 在小電流下的損耗比 Si IGBT 小。

Q6
一句話推薦英飛凌Si IGBT和SiC MOSFET結合的fusion解決方案。

A
得益於750V IGBT EDT3和第二代SiC MOSFET技術的良好匹配,英飛凌在第二代HP Drive封裝上實現了單驅動的fusion模組,實現了在小電流下主要由SiC MOSFET工作,在大電流情況下輔以IGBT工作,這樣在只需要30% SiC用量的情況下就實現了75%的邊際效率提升。

了解「電機控制與驅動特輯」第一期:電動車車規功率模組封裝發展史

掃描 QR Code,追蹤英飛凌汽車電子尋找更多應用或產品資訊

評論