3.管理並聯MOSFET應用中潛在的電位振盪
當並聯兩個MOSFET時,許多設計人員傾向於將兩個柵極和兩個漏極直接連接在一起。然而,這種方法很容易導致柵極振盪。在最壞的情況下,振盪幅度甚至可能超過最大額定柵極電壓,最終損壞MOSFET。
3.1 有關振盪的例子
圖5顯示了當兩個柵極直接連接在一起時可能發生的振盪的一個示例。在開啟和關閉轉換過程中會發生~150MHz的高頻振盪。這些振盪通常具有非常高的振幅,並且很容易超過柵源電壓或漏源電壓的最大額定值,從而損壞器件。
通過使用單獨的柵極驅動電阻,可以很容易地消除振盪。圖6顯示了在每個MOSFET的柵極中添加單個電阻的結果。兩個MOSFET上的柵極和漏極電壓幾乎相同,這意味著當並聯時,可以假設通過每個器件的電流是相同的。這大大提高了電路的可靠性。
3.2閘門振盪的根本原因分析
為了理解直接連接在一起的兩個MOSFET柵極處高頻振盪的原因,分析等效電路非常重要。圖7顯示了兩個並聯的MOSFET,其中寄生漏極電感、柵極電容(Cgd)和柵極電阻都很詳細。這些組件形成低阻抗迴路,可以被視為串聯RLC等效電路。
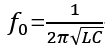
串聯RLC電路諧振頻率:
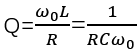
串聯RLC電路品質因數:
等式1和2確定了串聯等效電路的諧振頻率以及該諧振頻率下的品質因數(Q)。電路的阻抗越低,產生的Q因子就越高。電路對特定頻率的信號的響應越有選擇性,產生的振盪幅度就越高。為了避免這種振盪,建議在每個柵極串聯相等的柵極電阻。當迴路阻抗非常低時,這將有助於抑制振盪。
當兩個AOT474功率MOSFET並聯時,產生的振盪是由於C值減小,這反過來又增加了Q因子(Q與C成反比)。解決方案是將一個10Ώ的單獨柵極電阻連接到每個MOSFET的柵極,以降低Q因子並抑制柵極上的振盪,如圖6所示。
圖8a、8b和圖9中的電路仿真進一步證明了為什麼串聯柵極電阻對抑制振盪很重要。該模型中使用的參數來自AOT474數據表的電氣規範。該設備的內部R為2.8Ώ,C為36pF。假設迴路中的寄生電感為60nH,新的等效電路和等效阻抗值如圖8a所示。圖8b顯示了為每個MOSFET添加一個10Ώ串聯柵極電阻的影響,將有效柵極電阻從5.6Ω增加到25.6Ω。
使用從AOT474數據表獲得的參數和圖8a和8b所示的等效電路模型進行的小信號分析產生了圖9所示的結果。通過模擬圖8a中的電路獲得的紅色曲線顯示了高Q下約150MHz的諧振頻率,這與圖5中所示的波形很好地對應。藍色曲線是圖8b中等效電路的仿真結果,顯示了在每個MOSFET柵極添加10Ω柵極電阻的影響。電路的Q因子顯著降低,解釋了圖6所示的非常乾淨的柵極驅動波形的結果。
結論:
在開關應用中使用並聯MOSFET時,為了獲得最佳的均流和電壓平衡,在設計電路時必須小心。每個MOSFET的專用柵極電阻將有助於匹配導通和關斷時間,同時消除高頻振盪的可能性。在PCB布局過程中,適當注意儘量減少電流迴路,同時保持跡線長度短、寬和匹配,以減少高電流路徑中的寄生電感量,這將有助於保持電壓相等並在設計規範範圍內。
References
1.Paralleling of MOSFETs
J.B. Forsythe, IEEE-IAS Conference Record, October 1981.
- Analysis of Power MOSFET Performance in Parallel Operation
QAIN Min, XU Ming-qian, Min Zhi-nan (Institute of Mechanical Engineering, Tongji University, Shanghai 201804, China, 2007.11
評論