本文來源於《電源學報》2024年第1期
穆峰(1996-),男,碩士研究生。研究方向:電力電子與電力傳動。E-mail:18121479@bjtu.edu.cn.
劉宜鑫(1996-),男,碩士研究生。研究方向:電力電子與電力傳動。E-mail:yixin1996@163.com.
李鑫(1995-),男,碩士研究生。研究方向:電力電子與電力傳動。E-mail:18121470@bjtu.edu.cn.
孫湖(1970-),男,碩士,高級工程師。研究方向:牽引傳動系統可靠性。E-mail:hsun1 @bjtu.edu.cn.
黃先進(1980-),男,中國電源學會高級會員,通信作者,博士,副教授。研究方向:變流器控制與設計,半導體功率器件特性與應用等。E-mail:xjhuang@bjtu.edu.cn.
(北京交通大學電氣工程學院,北京100044)
摘要
絕緣柵雙極型電晶體IGBT(insulated-gate bipolar transistor)在現代電力電子技術中應用廣泛,在某些單個器件性能達不到設計要求的工作場合,IGBT的並聯使用成為一種經濟可行的方法。多模塊IGBT並聯應用可以簡化電路結構,增大變流器輸出功率,提高裝置功率密度。IGBT並聯應用過程中,器件本體的動、靜態特性及結溫的差異,驅動電路結構及功率迴路不對稱性,伴隨IGBT長期使用出現的老化或失效等問題,都會引起並聯IGBT支路電流的不均衡,影響系統的可靠性和穩定性。對國內外IGBT並聯應用所關注的研究熱點進行了調研分析總結了IGBT並聯動、靜態電流不均衡產生的原理及影響,分析了電流均衡控制原理的差異。從功率迴路均流控制和驅動迴路均流控制兩個方面,對IGBT並聯應用均流控制的工作特峰性進行了分析總結和技術對比,並對IGBT並聯均流技術的發展方向進行了展望。
隨著現代電力電子產業的迅速發展,大功率電能變換系統對電流容量的需求日益提升。單個絕緣柵雙極型電晶體IGBT(insulated-gate bipolar transistor)器件因其材料特性和製作工藝的約束,通流能力已接近正常應用的極限,進而無法滿足更大電流容量的應用需求。考慮到系統成本、驅動電路複雜性和硬體結構的簡化,多個IGBT直接並聯應用成為一種提升變流系統傳輸容量的有效方法[1]。多個IGBT並聯運行時,功率迴路結構是否對稱,驅動信號是否一致,各並聯IGBT的特性參數以及結溫變化是否趨近,都會影響其處於通態和開關瞬態時集電極電流的一致性,即引發IGBT靜態和動態的不均流問題[2]。因此,確保各並聯支路IGBT靜態和動態電流的均衡是IGBT並聯應用的關鍵。
靜態不均流主要指各並聯IGBT在通態時由於輸出特性和結溫的差異及支路阻抗的不一致,使得負載電流在各並聯IGBT上的分布不均衡;動態不均流主要指各並聯IGBT開通和關斷過程開始的時刻以及對應過程中,集電極電流變化速率的不一致致使部分IGBT承受較大的電流應力。為抑制並聯IGBT間的不均流現象,國內外研究者提出了不同的均流控制方法,按照均流控制的路徑,這些方法可分為功率迴路均流控制和驅動迴路均流控制兩類。功率迴路均流控制主要通過調整功率迴路結構或引入額外的阻抗以及利用熱網絡分析改善硬體設計,進而增強並聯IGBT間或IGBT內部晶片間的電熱參數的一致性,或儘可能弱化參數不一致所帶來的影響;驅動迴路均流控制主要通過採用一定的輔助電路及控制策略,調整門極的控制信號進而間接影響IGBT的集電極電流特性。
由於實際應用場合的多樣性,需選擇合適的IGBT均流控制方法以滿足並聯繫統的電流容量需求,權衡各控制方法在均流效果、損耗和電路複雜程度等因素下的原理及特點是必要的。本文根據近年來國內外對IGBT並聯應用均流控制方法的研究,首先從IGBT並聯靜、動態電流不均衡的原理分析及其影響因素進行闡述,隨後從功率迴路均流控制和驅動迴路均流控制兩個方面說明IGBT均流控制方法的研究現狀及其原理、特性,並對其進行歸納總結和對比展望。
01. 靜動態均流原理及其影響因素

圖1中,VCE(sat)1和VCE(sat)2分別為兩個並聯IGBT中Q1和Q2在飽和區下的集電極電壓,由於飽和壓降較低時IGBT的輸出特性為非線性,而在飽和壓降較高時近似呈線性,因此可以得到Q1和Q2的輸出特性[3]為:

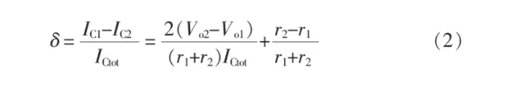
式中:Vo1和Vo2分別為Q1和Q2輸出特性曲線線性化後與VCE軸的交點,即開啟電壓,r1和r2分別為Q1和Q2的通態電阻;IC1和IC2分別為Q1和Q2的集電極電流;ICtot為Q1和Q2的集電極電流之和。由於Q1和Q2為並聯關係,存在數學關係:V CE(sat)1=VCE(sat)2=VCE(sat),結合式(1)定義IGBT並聯時的靜態電流不均衡度,即:

由於並聯時通常會選取同一批次的IGBT,其開啟電壓Vo較為接近,一般情況下可認為Vo1≈Vo2,繼而可將式(2)簡化為:

其中,r1和r2表征著IGBT中Q1和Q2的飽和壓降,可知飽和壓降對靜態均流特性有重要影響。通過對IGBT的飽和壓降構成進一步分析,可以了解到結溫對IGBT並聯靜態均流特性的影響圖,即:

式中:RM為IGBT的通態電阻;Rch為溝道電阻;Ra為積累層電阻、Rj 為JFET電阻;Repi 為外延層電阻。其中,Ra 和Rj 與器件的製造工藝有關Repi 會隨器件結溫的升高而略有增大,Rch 作為通態電阻,主要受門極導通電壓和結溫的影響,即:
式中:L為IGBT的溝道長度;Z 為單位面積的溝道寬度;μns為溝道反型層電子的遷移率;Cox為單位面積的柵氧化層電容;VG, on為導通時對應的驅動電壓;VGE(th)為IGBT的開通閾值電壓。
溝道反型層電子的遷移率μns是關於結溫Tj 的減函數,即:
式中:T0和m均為常數
由式(4)~式(6)可知,隨著IGBT結溫的升高,其通態電阻會增大進而導致其集電極電流減小,使得通態電阻較小的IGBT流過更多電流,經過累積後在各並聯IGBT的通態損耗和老化程度上產生進一步的差異,對此問題,近年來各IGBT廠商如英飛凌、ABB等推出了具有正溫度係數PTC(positive temperature coefficient)的IGBT以抑制並聯應用時靜態電流的不均衡現象。
IGBT並聯應用時靜態電流的不均衡可歸咎於飽和壓降的不一致,器件自身的輸出特性、結溫和外部電路阻抗的不一致都將對並聯IGBT的飽和壓降產生影響,最終導致負載電流在各並聯IGBT上分布不均。在實際應用中,影響並聯IGBT飽和壓降進而引發靜態電流不均衡的因素如表1所示[5]。
1.2 動態均流及其影響因素
IGBT並聯時動態不均流現象的主要表現為並聯IGBT開通、關斷過程起始時刻的不一致或集電極電流在開通、關斷過程中變化速率的不一致。其中,IGBT開通、關斷過程起始時刻的不一致通常源於門極驅動信號或門極驅動迴路參數的不一致,集電極電流在開通、關斷過程中變化速率的不一致則與器件內部參數及門極驅動電壓有關[6-7]。

以IGBT的開通過程為例,IGBT在該過程中存在開通延遲時間td(on),它對應IGBT的門極電壓由關斷時的穩態值達到導通閥值所經過的時間[8],即

式中:RG,on 和Rint 分別為門極驅動電阻和IGBT內部的門極電阻;Cies為IGBT的輸入電容;VG,on和VG,off分別為門極驅動電路開通和關斷時輸出的穩態電壓;VGE(th)為IGBT的導通閥值電壓。門極驅動電阻及輸出電壓、IGBT內部的門極電阻、IGBT結電容以及導通閥值電壓的差異都會對並聯IGBT開通過程起始時刻的一致性產生一定影響,此外,開通延遲時間td(on)還會隨著結溫Tj 的升高而增大。
在IGBT開通延遲結束後,集電極電流開始上升,其上升速率可表示為:
式中:lc為集電極電流;VGE為門極電壓;gm為等效跨導,與IGBT自身參數以及門極電壓有關,可知其對動態均流存在影響。
與開通過程類似,IGBT的關斷過程也與上述參數存在一定關聯。IGBT自身參數以及門極驅動電壓都會對並聯IGBT的開關過程起始時刻和電流變化速率的一致性產生影響。另外,對於單個IGBT,其內部布局(如引入開爾文發射極)會影響各並聯晶片的電流均衡回,這意味著包括IGBT在內的功率模塊內部需要更加合理的布局以確保並聯晶片間電流的均衡分布[10]。IGBT並聯時影響其動態均流特性的因素如表2所示[5]。
由以上分析可知,IGBT自身特性及其結溫、門極驅動電路與功率迴路布局以及負載特性都將對IGBT並聯應用時的均流特性產生影響,因此,在未採取任何功率迴路、驅動迴路和散熱設計方面的優化時,通常要對並聯IGBT進行降額計算及降額應用,即通過降低流經並聯IGBT的負載電流上限以妥協性地確保系統的穩定運行。
不同數目的IGBT並聯並滿足一定的靜態和動態均流特性時,由於靜態降額因子取值普遍高於動態降額因子,因此在考慮並聯繫統的降額時可以優先考慮靜態降額因子[11],並聯IGBT運行在安全工作區內時,通過並聯IGBT數目n、單個IGBT的集電極電流額定值IC(nom)以及平均電流IC(ave),可以得到並聯IGBT總電流上限∑I[12],即:
式中,IC(max)為並聯IGBT中承受最大電流應力的IGBT對應的集電極電流。
為儘量減少降額對各並聯IGBT性能的限制,針對複雜且多樣的影響因素,在確保選用同一型號、批次及相近正溫度特性IGBT的前提下,還需要採取合適的均流控制方法。
02 功率迴路均流控制
功率迴路的設計是IGBT並聯應用中至關重要的一步,通過對每個並聯IGBT的外圍功率迴路引人無源器件或優化功率迴路布局來提高並聯繫統各支路參數的一致性,以達到降低靜、動態電流的不均衡度的目的。以IGBT並聯應用為前提進行功率迴路設計時,通常會帶有一定的妥協性,需要在各支路電流均衡度和達到相應均流指標而引入的損耗等方面進行考量。
在優化並聯IGBT功率迴路布局方面,阻抗匹配對IGBT並聯應用中電流分布的影響需要重點考慮[13]。研究構建功率迴路間分布參數模型的等效電路,設計了不同的功率迴路連接方式進行性能比較測試,如圖2所示。在並聯IGBT支路間門-射極阻抗Zge和集-射極阻抗Zce差異較小的兩種結構(圖2(b)和(d))下,各並聯IGBT的門極電壓差異較小,並聯繫統擁有更好的均流特性。研究顯示,圖2(d)結構具有更好的動、靜態均流特性,雖然在實際中較難實現。
並聯IGBT發生短路時的負載對稱連接的均流問題,也需要特別考慮。基於3D數學模型及仿真,研究非對稱負載連接下功率迴路中電感分布對均流特性的影響,通過改進交流側連接端子結構的設計使其增加了額外的連接,進而有效降低了交流側的雜散電感,使得短路工況下並聯IGBT的電流分配得到優化,通過後續短路工況的仿真可知,增加接觸面積,採用更小的電流迴路連接能夠有效抑制短路工況時的電流不均衡[14]。
在設計功率迴路的布局時,通常會受到許多實際條件的約束使並聯繫統無法在電流通路和空間電磁場方面達到完全對稱[15-16],引人額外的無源器件進行阻抗匹配或抑制各支路在開關過程中集電極電流的變化速率成為了一種輔助性措施。
外加電感平衡法如圖3所示,通過在各IGBT所在的支路中均引入額外的電感,進而抑制IGBT開通和關斷過程中集電極電流的變化速率,其基本原理是通過IGBT外圍引入比雜散電感大一個或數個量級的μH級電感以抑制原支路中雜散電感間存在的差異。外加電感法可以同時抑制動態電流和靜態電流的不均衡,且開關頻率越高,效果就越好。
目前該種方法僅見於涉及兩電平電路拓撲中的應用的文獻中,在其他電路拓撲形式中的應用有待進一步研究[16]。外加電感的大小可以表示為:
式中:UDC為直流母線電壓;∆Imax為所允許的電流偏差最大值;∆t為並聯IGBT間開關過程起始時刻的偏差。
對外加電感後電流的不均衡度進行推導與簡化[3],得到:
外加電感法雖然在工程上易於實現,卻存在著明顯的缺點:1.由於IGBT功率迴路中引入了取值高於雜散電感一個或數個量級的電感,在選用同一驅動電路配合發射極電阻反饋法進行IGBT並聯驅動時,IGBT門極驅動迴路產生的反饋電壓會出現嚴重的振盪,進而導致開關管的損壞;2.該方法對因IGBT模塊內部參數不一致產生的續流二極體反向恢復電流的不一致並無改善作用。
在每個IGBT獨立驅動和外加電感的基礎上,基於特定的拓撲可以進一步改善IGBT的並聯均流特性[3],如圖4所示,以外加電感法為基礎,在直流側引入了一個Z源網絡,該網絡由吸收電感Ldc_b1和Ldc_b2、吸收電容Cdc_b1和Cdc_b2、二極體D組成,輸出側電感由電感Le1和Le2組成,負載由負載電感L、電容C和負載電阻R組成,IGBT模塊由4個IGBT組成的H橋型並聯電路構成,Vd為直流輸入電壓,Cd為直流側吸收電容。
該拓撲使IGBT開通和關斷過程中的集電極電流變化速率均受到支路電感的抑制,繼而減小動態電流的不均衡,而Z源網絡中的電感將會使IGBT開通過程中換向速率變慢,減緩了二極體反向恢復所帶來的開通時動態電流不均。該方法配合軟開通方式可以降低開通損耗,由於附加的電感在任何時刻都存在電流通路,不會產生額外的過電壓,直流側電感則能夠抑制短路時電流的di/dt,進而簡化短路保護的設計。該拓撲帶來的問題為:IGBT關斷時,Z源網絡中電感的部分電流會流入IGBT吸收電容對其充電,進而抬高IGBT關斷時集射極電壓的第二尖峰值,為抑制該尖峰,需要在引人Z源網絡時額外引入1個二極體和2個μH級電感的基礎上,在直流側添加由二極體及電容組成的CDC網絡。
並聯IGBT間的電流分布不僅受到各支路阻抗影響,還與熱網絡中存在的耦合效應有著重要的聯繫,半導體器件的開關損耗與通態損耗通常會受到結溫的影響,而結溫也會由於損耗的存在而波動,進而影響器件的瞬態和通態特性。為了較準確地預測IGBT模塊瞬態結溫的變化進而將其推廣至並聯繫統,需要建立IGBT模塊的瞬態電熱模型,以分析並聯IGBT散熱路徑之間的耦合關係,優化並聯繫統中功率模塊的安裝位置和散熱器設計,利用自然風冷、強迫風冷和水冷這3種常用的冷卻措施[17]在保證各IGBT的結溫處於安全工作區內的同時,使得各模塊具有較小的結溫差異,以提高瞬態和通態時集電極電流的一致性。
並聯IGBT模塊間的散熱布局會對各模塊溫升及熱量交換產生較大影響,準確的熱耦合特性分析有利於模塊間散熱布局的合理設計。通過引人Elmore延時的RC組件模型RCCM(RC component model),可以反映熱量在每個組成層級之間的傳導延遲並提取熱網絡中的熱阻抗參數和時間常數,進而對採取一定冷卻措施下的IGBT模塊的瞬態和通態的熱特性進行分析[17]。而通過採集模塊外殼的熱測量數據與熱阻抗參數ZJC相結合的方式提取整個系統的RC網絡參數,將使IGBT結溫的預測易於實現[18]。通過對單個IGBT模塊進行熱模型的建立與分析,使瞬態時結溫變化的預測較為準確,但由於解析方法求解熱模型較為困難,並未將分析推廣到並聯IGBT應用中。採用改進型並聯熱阻抗模型分析結溫對IGBT瞬態和通態的影響時,器件之間存在橫向的熱流分布使得散熱路徑間存在的耦合將被考慮在內[19]即在單個器件熱阻模型的基礎上添加橫向耦合的熱阻部分,將器件總的損耗分成橫向PH和縱向PV流動,並以此為基礎,建立了IGBT並聯瞬態電熱模型(損耗與結溫相互影響的耦合模型),通過實驗和仿真結果對比發現,模塊距離增大導致散熱器水平熱阻抗部分的參數增大,該模型使並聯模塊之間的熱耦合特性的分析更加準確。
並聯IGBT的熱耦合參數不僅需要從模塊散熱布局方面進行優化,單個模塊內部晶片間的溫度也會相互作用進而影響整個模塊的溫度。基於功率模塊內部熱量的橫向傳導分析熱交叉耦合作用的基理,根據單晶片工作時其他晶片受到的溫度影響建立交叉耦合熱網絡模型,並對交叉耦合熱網絡模型、傳統熱網絡模型以及有限元模型獲取的平均結溫情況進行對比[20],可以指導模塊封裝參數的優化以提高模塊的可靠性。
IGBT並聯應用下功率迴路的均流控制主要通過優化功率迴路電熱特性的一致性以及在主電路中引入額外的元件,確保並聯IGBT具有較為合理的動、靜態均流特性。但在高壓大功率場合,額外引人的元件的體積、損耗及成本較高,某些功率迴路布局也較難實現。
03. 驅動迴路均流控制
驅動迴路均流控制由驅動電路結構和門極控制策略兩方面組成,其中門極控制策略主要通過改變各並聯IGBT門極控制信號的大小和一致性來間接控制其集電極電流的一致性,根據對門極輸入的影響方式可分為無源控制和有源控制兩種。無源控制僅通過在門極迴路引入無源器件即可實現反饋調節,無需控制策略與檢測電路二者的配合,主要包括發射極電阻反饋法和磁芯同步法;有源控制通過輔助電路與控制策略相配合實現對並聯IGBT均流特性的實時調節,主要包括平均電流法、閉環電流斜率控制法、鏈式控制法和門極延遲控制法。
3.1 驅動電路結構
在IGBT並聯應用中,除了功率迴路的設計與優化,驅動電路結構的選取對於並聯IGBT的均流特性同樣具有重大影響。通過測試和分析,對比了不同IGBT門極驅動迴路結構對IGBT並聯動態工作特性的影響,具體結果如表3所示[21]。
4種IGBT驅動結構如圖5所示,PI(power in-tergrations)、青銅劍科技、飛仕得科技等驅動開發商將會綜合考慮功率模塊封裝和客戶需求等因素,推出針對某型號IGBT並聯應用的驅動電路。
3.2 無源門極控制策略
3.2.1 發射極電阻反饋法
發射極電阻反饋法是在並聯IGBT使用同一驅動電路的前提下引入的均流控制方法,如圖6所示,處於同一驅動電路下的各IGBT的輔助發射極公共點AE及其功率發射極公共點E之間將不可避免的存在環路[22],該環路使並聯IGBT自身特性或功率迴路寄生參數不一致時伴隨的集電極電流不均衡,通過環路影響各並聯IGBT的門極電壓,以對不均流形成抑制,通過增大發射極電阻RE1和RE2可以增大這種反饋作用。


3.2.2 磁芯同步法

磁芯同步法的另一種方式更加常用,也稱為脈衝變壓器法,該方法於2002年被提出並在串聯均壓中得到應用[23],這一方法同樣適用於IGBT並聯應用。將變比為1:1的脈衝變壓器的一次側和二次側分別串入兩路並聯IGBT門極所在的線路,通過磁耦合的方式實現驅動電流的同步性,當驅動電阻和並聯IGBT的內部參數分別一致時,門極電阻對IGBT輸入電容的充放電過程也將趨於一致,從而實現IGBT的動態均流。而根據變壓器的原理,通過級聯可以實現多路IGBT並聯的驅動信號補償,這種良好的擴展性成為了脈衝變壓器法最大的特點和優點[24],運用脈衝變壓器法的n級IGBT並聯驅動連接如圖8所示。
脈衝變壓器法對改善驅動信號延時不同導致的並聯IGBT動態電流不均衡具有較好的效果,根據並聯IGBT的參數和驅動信號延時等條件,將IGBT動態過程等效為輸入電容充放電等效電路繼而推導得到其範圍,變壓器的互感、漏感設計可由此為參考[25]。採用磁芯同步法進行均壓控制時,考慮到柵極平衡核的漏感對均壓效果的影響[26],漏感越小可使兩個繞組的電流差值越小,則均衡效果越好。
3.3 有源門極控制策略
3.3.1 平均電流法
通過平均電流與各並聯IGBT實際電流的偏差Δi 調整門極電壓的大小,實現並聯IGBT的靜態均流控制,如圖9所示,對於並聯IGBT中的某一條支路i,其參考電流Δi[27]可表示為:

式中:T為採樣時間;n為並聯IGBT的數目;ii 為靜態電流,通常取自通態過程結束前的電流(所有被測電流無需精確至同一時刻)。文獻[28]也提出了利用並聯IGBT的平均電流IC(AVC)及各IGBT的實際電流IXi 得到作用於IGBT門極的電壓ΔVi,進而與控制信號VPWM 相疊加成為實際作用於門極的驅動電壓VGEI 實現並聯IGBT的均流。

平均電流法對靜態電流有較好的均衡作用,而對動態均流的實現則需藉助複雜的數字處理,且均流過程存在一定的延遲,需通過優化控制策略及改善控制、功率迴路的結構設計以進一步提升均流效果。
3.3.2參考電流法
通過引入一種無需數字處理環節的穩態電流環可以優化並聯IGBT靜態均流特性[29],如圖10所示。該穩態電流環通過參考電流得到對應的參考電壓Uref。
參考電流法有較好的靜態均流效果,可通過模擬電路實現對靜態電流的調節,有效節約了器件成本,該方法的均流效果容易受到IGBT參數差異的影響。

3.3.3 閉環電流斜率控制法
通過對集電極電流變化速率dlc/dt設置參考值,使各並聯IGBT在開關過程中按照既定的斜率上升和下降,進而實現均流[30],其控制電路如圖11所示。該方法通過檢測輔助發射極至功率發射極間寄生電感兩端的電壓,與對應參考電流斜率的參考電壓進行比較,實現並聯均流。由於在控制算法中存在發射極寄生電感IE 作為關鍵參數,閉環電流斜率控制法易受到IGBT參數的影響。

3.3.4 鏈式控制法
在並聯時各IGBT按照一定的次序,將其相鄰的一個IGBT的集電極電流作為參考,可以避免平均電流法可能引發的控制飽和問題B11,如圖12所示。

鏈式控制法規避了平均電流法參考值的計算以及控制飽和的發生,簡化了控制結構,但各並聯IGBT電流的提取仍需額外的器件和空間,且該方法缺少相應的動態均流措施。
3.3.5 門極延遲控制法
與IGBT串聯均壓中採取的門極延遲控制原理相同,通過分別調節各並聯IGBT驅動信號的時序,使其能夠在相近的時刻開通或關斷,即可改善系統的動態均流特性[22-33]。通過第3.2.1節提及的由平均電流和測量電流得到的參考電流Δi,經控制算法得到延遲時間Δt,對開通及關斷控制信號進行延遲調節,如圖13所示,並在1000V/800A下選用4個IGBT半橋模塊進行並聯測試,得到了可接受的均流效果[27],但該方法的均流效果受電流採集時刻與器件選擇的影響,存在一定局限性。

通過將已知的器件參數代人均流模型的方式獲取需要引入的延時補償後,經過精細調整,可改善並聯IGBT的動態均流特性。通過PCB羅氏線圈測量各支路電流後,與設置的電流閾值Itrig相比較,進而獲取對應的延時,隨後選擇並聯IGBT中任意一路作為參考支路,用於調節其他支路上IGBT驅動信號的延遲時間[34-35]。採用PCB羅氏線圈測量或利用發射極感應電壓VEe可以獲取集電極電流的上升、下降沿信息,再通過引入主從結構和鏈式結構2種門極延遲控制,門極驅動的不同步能夠得到有效改進。對於利用IGBT發射極感應電壓VEe獲取集電極電流上升、下降沿實現自動的延遲時間補償的控制策略,其均流效果在1700V/450A條件下的IGBT三模塊並聯應用中得到驗證[36-37]。
3.3.6 變門極電阻控制法
門極電阻Rg的取值對IGBT的開通/關斷延遲時間、集電極電流變化速率以及集射極電壓變化速率等方面會產生不同程度的影響。僅在開通及關斷延遲階段通過數字輸入與模擬開關結合的方式,將兩個電阻串聯以改變門極電阻的大小,在延遲階段結束後將門極電阻切換至原始值,經過以上過程。並聯IGBT的動態均流特性(600V/90A)可得到優化[38]。該方法可看作通過影響驅動迴路對輸入電容的充放電過程間接地改變開關延遲時間,可認為是一種間接的門極延遲控制方法,但並未在更高功率等級下進行測試,有待進一步探索。
04. 均流控制方法對比及展望
對上述均流方式(包括降額法)的對比如表4所示,分別從均流效果、引入損耗、設計複雜度和可靠性4個方面進行了比較。
降額法作為最簡單的均流方式,不會引入過多損耗,但會對器件的利用率產生較大限制,不適用於並聯IGBT數目較多的情況,因此還需要從功率迴路和驅動迴路兩方面考慮進行均流控制。
對於功率迴路,優化其電磁以及熱網絡參數的一致性可以有效均衡各支路電流的分布,但在實際運行條件的限制下,可能需要外加電感法配合在一定程度上抑制電流的變化速率,這同時也會引入較大的損耗,而基於拓撲的外加電感法引入的關斷電壓尖峰問題亦需配合額外的元件對其進行抑制,因此,僅依賴外加電感的均流方式在高壓、高頻的場合併不適用。

對於驅動迴路,在未採用任何門極控制策略時,可以根據系統對均流特性的需求選取不同的驅動電路結構以使門極信號達到相應的一致性,儘管隔離驅動結構具有較好的均流效果,但對信號隔離環節中各元件的一致性的要求會隨著並聯IGBT數目的增加而更加嚴苛,同時也不適用於並聯IGBT的分布較為鬆散的場合;在發射極引入反饋電阻雖然可以有效抑制不均流但存在振盪的風險,其較大的反饋電阻在並聯器件開關頻率較高的場合將帶來的較大的驅動損耗;磁芯同步法可抑制由驅動信號延時不一致而產生的電流不均,其均流效果較為理想,電路拓撲簡單,具有擴展性,但耦合變壓器的存在會使驅動電路的體積增大,其複雜程度也會提高,適用於並聯IGBT本身參數差異較小且系統體積限制不高的情況。平均電流法和鏈式控制法對靜態均流能夠起到一定的改善作用,但需要額外的電流檢測電路或易受器件參數的影響,參考電流法結構簡單且具有較好的靜態均流效果,但也有一定的參數依賴性,以上三者適用於器件開關頻率不高的場合;閉環電流斜率控制法在改善動態不均流的同時也存在器件參數的依賴性,且不適用於驅動信號傳輸延時差異較大、器件開關頻率較高的場合;門極延遲控制法儘管能達到較好的動態均流效果,但較為依賴延時補償的測量及計算精度,對控制單元的快速性和穩定性有著較高要求,較適用於中高頻場合,變門極電阻控制法較於前者更加簡單但缺少自適應調節能力,且對於集電極電流的測量精度有著一定要求,更高功率等級下是否適用還需進一步驗證。
在上述均流方式需要進一步完善的同時,未來的IGBT並聯均流控制應具備以下特徵:基於IGBT模塊封裝及內部晶片布局的優化,功率迴路及散熱設計得到進一步簡化,結合具體的應用場合,驅動電路的結構和並聯控制策略應儘可能簡單,確保系統均流指標的同時具備一定的檢測和保護功能,各並聯IGBT的驅動電路應獨立、模塊化,具有可替換性。均流技術的發展可能集中在以下6個方向。
1 IGBT模塊內部晶片和匯流迴路布局以及IGBT模塊封裝技術。器件封裝內部電流路徑間的電磁耦合以及並聯晶片之間的熱耦合對整個並聯繫統的影響較為顯著,優化封裝與晶片布局將有效確保單個器件的穩定運行進而降低其並聯使用的風險[39]。在IGBT模塊內部,封裝晶片數量和匯流迴路電磁特性以及熱特性都會以並聯應用為基礎專門考量,模塊封裝的端子布局、形狀尺寸,會基於多模塊並聯情況下電磁特性以及熱特性加以考慮。
2 功率匯流迴路的材料結構設計。在現有低感疊層母排的基礎上,向無感疊層母排、柔性連接母排發展,利用新材料、新工藝,進一步降低功率迴路寄生參數影響,增強各並聯支路的參數一致性
3 並聯IGBT模塊結構布局立體化。散熱結構突破目前大多數散熱基板平面布局,向具有不同三維結構的空間分層散熱方式發展。
4 IGBT驅動電路智能化、精細化。從當前確保控制脈衝同步而各並聯IGBT門極實際不同步,到考慮客觀控制迴路寄生參數的影響,實現脈衝異步而各並聯IGBT門極同步開通的轉變。這需要研發更加智能、更加精細化控制的IGBT驅動電路,實現自動檢測驅動迴路參數差異,自動實現驅動信號超前滯後精細化調節。
5 均流檢測技術。動、靜態均流時所採用的某些判據對於相應檢測電路的精度和器件參數依賴性都有著較高的要求,因此,更加泛用、低成本、可集成以及精準的均流檢測技術是實現理想均流控制所不可或缺的HOINGBT間集電極電流的檢測以及信息交互可在各自的驅動電路間完成,系統的均流檢測範圍可跟隨並聯IGBT數目的增加而穩定擴展。
6 均流控制與在線監測功能的集成。隨著IGBT應用領域愈加廣泛以及運行工況愈發複雜,各並聯IGBT採用集成了均流控制與在線監測功能的獨立驅動將會更加合理和有效地確保其性能發揮,延長模塊的使用壽命(1)。將均流控制與IGBT過溫、老化及失效的監測預警系統相結合,更有助於確保器件的可靠性。
05結語
對於並聯IGBT的均流控制,可以從功率迴路和驅動迴路兩方面進行考慮。功率迴路均流控制包括加強各並聯IGBT及其所在支路在電磁及熱耦合方面的一致性以及外加電感實現對集電極電流變化速率的抑制;驅動迴路均流控制包括驅動電路結構和門極控制策略兩方面,從電路結構和功能上實現對門極電壓的調節。從均流效果、引入損耗、設計複雜度和可靠性4個方面對比了文中提到的各均流方式,並對未來IGBT並聯均流技術可能的研究方向進行了展望。
參考鏈接
[1]肖雅偉,唐雲宇,劉秦維,等.並聯IGBT模塊靜動態均流方法研究門電源學報,2015,13(2):64-70
Xiao Yawei, Tang Yunyu. Liu Qinwei,et al. Research on method of balancing static and dynamic current for para-lleled IGBT modules [JJ Journal of Power Supply, 2015, 13 (2): 64-70, 76 (in Chinese).
[2]王小紅,李世存,梁帥奇,等.IGBT並聯關鍵技術和測試方法的研究[J]電力電子技術,2014,48(10):45-47.
Wang Xiaohong. Li Shicun. Liang Shuaiqi, et al. Research on key technology and test method of parallel-connected IGBT [J]. Power Electronics, 2014, 48(10): 45-47 (in Chi-nese).
[3]張成,孫馳,馬偉明,等.基於電路拓撲的IGBT並聯均流方法[J]高電壓技術,2013,39(2):505-512.
Zhang Cheng, Sun Chi, Ma Weiming, et al. Paralleling current sharing method of parallel IGBTs based on circuit topology [J]. High Voltage Engineering, 2013, 39(2): 505-512 (in Chinese).
[4]王雪松,趙爭鳴,袁立強,等.應用於大容量變換器的IGBT並聯技術[J] 電工技術學報,2012,27(10):155-162.
Wang Xuesong, Zhao Zhengming, Yuan Liqiang, et al.Parallel technique for IGBT modules applied in high-power converter (JJ. Transactions of China Electrotechnical Soci-ety, 2012,27(10): 155-162 (in Chinese).
[5]王位,李衛超,林城關.大容量IGBT並聯均流檢測技術研究[J]電氣傳動,2017,47(6):71-76.
Wang Wei, Li Weichao, Lin Chengmei. Research on detection method for current balancing of parallel connected high power IGBT modules [J]. Electric Drive, 2017, 47(6):71-76 (in Chinese).
[6]陶尤國.大功率IGBT並聯使用的均流方法研究[D].哈爾濱:哈爾濱工業大學,2014.
Tao Youguo.Current balance study for high power IGBT parallel use [D]. Harbin: Harbin Institute of Technology, 2014(in Chinese).
[7]Tang Yunyu, Ma Hao. Dynamic electrothermal model of paralleled IGBT modules with unbalanced stray parameters[J]. IEEE Transactions on Power Electronics, 2017, 32(2):1385-1399.
[8]陳玉林,孫馳,艾勝,等.一種中電壓大功率IGBT模塊行為模型[J].電工技術學報,2017,32(4):25-34.
Chen Yulin, Sun Chi, Ai Sheng, et al. The medium-voltagehigh power IGBT module behavior model [J]. Transactions of China Electrotechnical Society, 2017, 32 (4): 25-34 (in Chinese).
[9]曾正,李曉玲,曹琳,等.開爾文連接對功率模塊並聯均流影響的對比評估門中國電機工程學報,2019,39(18):
5480-5489.Zeng Zheng, Li Xiaoling, Cao Lin, et al. Evaluation on current sharing of power module affected by Kelvin con-nection [JProceedings of the CSEE, 2019, 39(18): 5480-5489 (in Chinese).
[10] Schanen J L, Martin C, Frey D, et al. Impedance criterion for power modules comparison[J] .IEEE Transactions on PowerElectronics. 2006, 21(1): 18-26.
[11] Chamund D, Findlay B, Birkett K, et al. Parallel operation of IGBT modules using derating factors [Z]. 2002.
[12] Fuji IGBT Modules Application Manual [EB/OL]. Chapter8: 1-8. http://www.fujielectric.com.
[13] Matallana A. Andreu J, Garate J I, et al. Analysis of impedance and current distributions in parallel IGBT design[CJ/ / 2017 IEEE 26th International Symposium on Industrial Electronics(ISIE). Edinburgh, UK, 2017:616-621.
[14] Spang M, Katzenberger G. Current sharing between para-llel IGBTs in power modules during short circuit with un-symmetrically connected load (CJ/ 2016 18th European Con-ference on Power Electronics & Applications. Karlsruhe,Germany, 2016: 1-9.
[15] Wissen M, Domes D, Brekel W, et al. How asymmetric bus bar design causes symmetric switching behavior of para-Ileled IGBT modules [C]/ CIPS 2018 10th International Con-ference on Integrated Power Electronics Systems. Stuttgart,Germany, 2018: 1-3.
[16]張鋼,劉志剛,王磊,等,能饋式牽引供電功率模塊並聯技術[J]電工技術學報,2010,25(6):77-82.
Zhang Gang, Liu Zhigang, Wang Lei, et al. Parallel tech-nologies of power module for traction power supply with energy feedback [J]. Transactions of China Electrotechnical Society, 2010, 25(6): 77-82 (in Chinese).energy feedback [JJ. Transactions of China ElectrotechnicalSociety, 2010, 25(6): 77-82 (in Chinese).
[17] Yun CS, Malberti P, Ciappa M, et al. Thermal component model for electrothermal analysis of IGBT module systems[J]. IEEE Transactions on Advanced Packaging, 2001, 24(3): 401-406
[18] Luo Zhaohui. Ahn H. Nokali M. A thermal model for insulated gate bipolar transistor module [JJ. IEEE Transactionson Power Electronics, 2004, 19(4): 902-907.
[19]唐雲宇,林燎源,馬皓.一種改進的並聯IGBT模塊電熱模型[J]電工技術學報,2017,32(12):88-96.
Tang Yunyu, Lin Liaoyuan, Ma Hao. An improved transient electro-thermal model for paralleled IGBT modules[J]. Transactions of China Electrotechnical Society, 2017,32(12): 88-96 (in Chinese).
[20]袁訊.功率模塊的耦合熱網絡模型和封裝參數的優化研究[D]廣州:華南理工大學,2018.
Yuan Xun. Research on thermal coupling network model forpower module and optimization of package parameters [D].Guangzhou: South China University of Technology, 2018 (in Chinese).
[21] Jadhav V, Zhou Yizeng. Jansen U. Analysis of different IGBT gate driver strategies influencing dynamic paralleling performance [C]// PCIM Asia 2016 International Exhibition and Conference for Power Electronics, Intelligent Motion Renewable Energy and Energy Management. Shanghai, China, 2016: 1-9.
[22] ABB Application Note 5SYA 2098-00: Paralleling of IGBT Modules [Z].
[23] Sasagawa K, Abe Y. Matsuse K. Voltage-balancing method for IGBTs connected in series (JJ IEEE Transactions on In- dustry Applications, 2004, 40(4): 1025-1030
[24]王建民,同強華,董亮,等,大功率IGBT模塊並聯動態均流研究[J]電氣自動化,2010,32(2):10-12.
Wang Jianmin. Yan Qianghua, Dong Liang, et al. Research on dynamic curmet sharing of parallel high-power IGBTs [J]. Electrical Automation, 2010, 32(2): 10-12 (in Chinese).
[25]賈艷明,嚴萍,莊洪春.變壓器在IGBT串聯技術中的應用[J]變壓器,2005,42(5):14-18.
Jia Yanming. Yan Ping, Zhuang Hongchun. Application of transformer to IGBT serial technology (JJ. Transformer, 2005,42(5): 14-18 (in Chinese).
[26] Abe Y. Maruyama K, Matsumoto Y, et al. Performance of IGBTs series connection technologies for auxiliary power supply system [CI// Power Conversion Conference-Nagoya.Nagoya, Japan, 2007: 1382-1387.
[27] Hofer P, Karrer N, Gerster C. Paralleling intelligent IGBT power modules with active gate-controlled current balancing [C]// PESC Record. 27th Annual IEEE Power Elec-tronics Specialists Conference. Baveno, Italy. 1996: 1312-1316.
[28] Lizama I. Alvarez R, Bernet S, et al. Static balancing ofthe collector current of IGBTs connected in parallel[C]//IECON 2014 - 40th Annual Conference of the IEEE In-dustrial Electronics Society. Dallas. TX, USA, 2015: 1827-1833.
[29] Chen Ying, Zhuo Fang. Pan Wenjie, et al. A novel active gate driver for static and dynamic current balancing of parallel-connected IGBTs [C]// 2017 IEEE Applied Power Electronics Conference and Exposition (APEC). Tampa, FL,USA, 2017:795-799-799.
[30] Chen Ying, Zhuo Fang, Zhang Fan, et al. A novel method for current balancing between parallel-connected IGBTs[C]/ /2016 18th European Conference on Power Electronics and Applications (EPE16 ECCE Europe). Karlsruhe,Germany, 2016: 1-8.
[31] Perez-Delgado R, Velasco-Quesada G, Roman-Lumbreras M.Current sharing control strategy for IGBTs connected in parallel [JJ. Journal of Power Electronics, 2016, 16(2): 769.
[32] Shammas N, Withanage R, Chamund D. Review of series and parallel connection of IGBTs [J. IEE Proceedings - Circuits, Devices and Systems, 2006, 153(1): 34-39.
[33]楊媛,文陽,李國玉.大功率IGBT模塊及驅動電路綜述[J]高電壓技術,2018,44(10):3207-3220
Yang Yuan, Wen Yang, Li Guoyu. Review on high-power IGBT module and drive circuit [J].High Voltage Engineer-ing, 2018, 44(10): 3207-3220 (in Chinese).
[34] Xiao Yawei, Liu Qinwei, Tang Yunyu, et al. Current sharing model of parallel connected IGBTs during turn-on [C]//IECON 2014 - 40th Annual Conference of the IEEE Industrial Electronics Society. Dallas. TX, USA, 2014: 1350-1355
[35] Bortis D. Biela J, Kolar J W. Active gate control for current balancing of parallel-connected IGBT modules in solid-state modulators (JJ. IEEE Transactions on Plasma Sci-ence, 2008, 36(5): 2632-2637.
[36] Lobsiger Y, Bortis D, Kolar J W. Decentralized active gate control for current balancing of parallel connected IGBT modules [CJ/ European Conference on Power Electronics &Applications.Birmingham. UK, 2011: 1-10.
[37] Alvarez R, Bernet S. Sinusoidal current operation of delay-time compensation for parallel-connected IGBTs [J]. IEEE Transactions on Industry Applications, 2012, 50(5): 3485-3493.
[38] Sasaki M, Nishio H, Ng W T. Dynamic gate resistance con-trol for current balancing in parallel connected IGBTs [C]/Applied Power Electronics Conference & Exposition. Long Beach, CA, USA, 2013: 244-249.
[39] Yang Jianxiong, Che Yanbo, Ran Li, et al. Evaluation offrequency and temperature dependence of power losses dif-ference in parallel IGBTs [J]. IEEE Access, 2020, 8: 104074-104084.
[40] Su Hongyuan, Wang Lulu, Zhao Fazhan, et al. A novel electrical evaluation approach for inhomogeneous current distribution in parallel-connected IGBT modules [CJ// 2018IEEE International Symposium on the Physical and Failure Analysis of Integrated Circuits(IPFA). Singapore, 2018: 1-4.
[41] Palmer P, Zhang Tianqi, Zhang Xueqiang, et al. Control strategies for parallel connected IGBT modules [C]// 2019 IEEE Energy Conversion Congress and Exposition (ECCE).Baltimore, MD, USA, 2019: 3717-3722.
掃描二維碼,關注英飛凌工業半導體尋找更多應用或產品信息
評論