1. RCC是Ringing Choke Converter的縮寫
之所以稱RCC是由於其控制過程為振盪狀態和抑制狀態(或稱阻塞狀態)的時間比,因此成為振盪抑制型變換器,簡稱RCC型開關穩壓器。
反激式自激變換器就是我們通常所指的RCC電路。
2. 下面是最基本的RCC工作原理圖

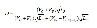
振盪占空比:

振盪頻率:

之所以稱RCC是由於其控制過程為振盪狀態和抑制狀態(或稱阻塞狀態)的時間比,因此成為振盪抑制型變換器,簡稱RCC型開關穩壓器。
反激式自激變換器就是我們通常所指的RCC電路。
2. 下面是最基本的RCC工作原理圖

振盪占空比:

振盪頻率:

由上述公式,可以了解到RCC電路的基本工作原理:
A. 占空比D與輸入電壓成反比,即隨輸入電壓的增加,ton在縮短,而toff是不變的。
B. 負載電流對占空比沒有影響。
C. 占空比隨變壓器初級感量Lp的增加而增加,而隨次級感量Ls的增加而減少。
D. 振盪頻率f隨輸入電壓的升高而上升,與負載電流Io成反比。
E. 振盪頻率f隨Lp,Ls的增加而降低。
3. RCC電路的優缺點:
3.1 電路結構簡單,成本低。
3.2 由於工作在完全能量傳遞狀態,副邊整流二極體的正嚮導通電流到零之後才反向,所以反向恢復電流和損耗很小,產生的振鈴也小很多,因此輸出的高頻雜音也要小很多。
3.3 開關管驅動電路在高輸入電壓時會過驅動,導致驅動損耗和關斷損耗過大。
3.4 在最大輸入電壓,最小負載工況下容易出現間歇震盪,好處是空載損耗小,壞處是輸出電壓紋波大,可能會有噪音。
評論