傳統的家電產品通常使用物理按鍵來進行操作,但隨著科技的不斷進步,越來越多的家電產品開始採用觸摸螢幕和觸摸按鍵來提供更加智能化和便捷的操作方式。
本篇介紹復旦微FM33FR026的觸摸檢測原理
TSI
模塊使用自電容的 方法來檢測觸摸行為。 自電容檢測的原理 如下圖所示,當傳感器 PAD處於未被觸摸狀態的時候,傳感器 PAD 和走線的電場僅能耦合到網格鋪地上,形成傳感器的靜態電容 CS。而在有手指觸摸的情況下,傳感器 P AD 和手指之間就通過覆蓋層形成了一個對地的電容 CF,這使得傳感器 P AD 的電容值 變大。因此, T SI 模塊通過檢測傳感器的電容值的變化,可以檢測到觸摸 行為 。

TSI
模塊內部 使用 Sigma Delta 方法檢測傳感器 電容值的變化。 模塊首先通過採樣時鐘對內部開關施加頻率為 fSW的開關信號,驅動傳感器等效電容 CP進行充放電(需要注意的是,我們給的 fSW開關信號至少要保證能夠滿充滿放)。充放電的電源來自於 T SCAP 引腳掛載的儲能電容 CREF。同時,電壓比較電路通過採樣儲能電容上的電壓對 I DAC 進行閉環控制,將儲能電容上的電壓始終穩定在一個固定的參考電壓上。簡單示意圖如下:

本篇介紹復旦微FM33FR026的觸摸檢測原理
TSI
模塊使用自電容的 方法來檢測觸摸行為。 自電容檢測的原理 如下圖所示,當傳感器 PAD處於未被觸摸狀態的時候,傳感器 PAD 和走線的電場僅能耦合到網格鋪地上,形成傳感器的靜態電容 CS。而在有手指觸摸的情況下,傳感器 P AD 和手指之間就通過覆蓋層形成了一個對地的電容 CF,這使得傳感器 P AD 的電容值 變大。因此, T SI 模塊通過檢測傳感器的電容值的變化,可以檢測到觸摸 行為 。

TSI
模塊內部 使用 Sigma Delta 方法檢測傳感器 電容值的變化。 模塊首先通過採樣時鐘對內部開關施加頻率為 fSW的開關信號,驅動傳感器等效電容 CP進行充放電(需要注意的是,我們給的 fSW開關信號至少要保證能夠滿充滿放)。充放電的電源來自於 T SCAP 引腳掛載的儲能電容 CREF。同時,電壓比較電路通過採樣儲能電容上的電壓對 I DAC 進行閉環控制,將儲能電容上的電壓始終穩定在一個固定的參考電壓上。簡單示意圖如下:

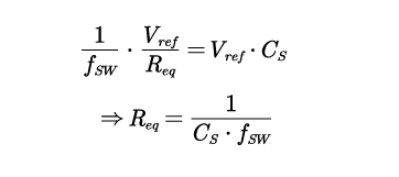
等效電阻Req計算如下:

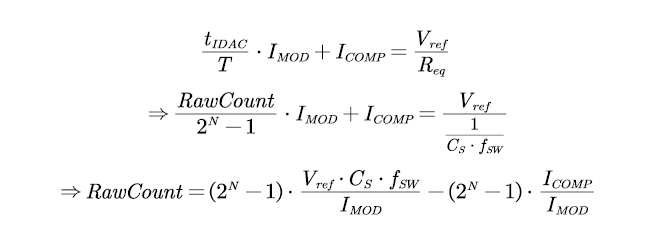
Sigma-Delta 方法通過累計一個通道掃描周期內,調製IDAC 打開的時間占整個周期的時間的比例來反映等效Req抽取電流的量。TSI 模塊使用計數器來量化這個比例,可以通過解析度N 配置來改變量化的粒度。最終我們從TSI 模塊獲得的原始計數值RawCount 可以按照如下計算獲得:
1. 單IDAC 模式下,

2. 雙IDAC 模式下,補償IDAC 用於降低傳感器線路自身靜態電容在RawCount 中引入的無效計數值,擴大RawCount 的有效範圍,從而在相同解析度下,可以調節其他參數獲得更大的精度:

可以看出,RawCount 數值和傳感器線路的總電容值成一次函數關係,因此我們可以直接用它來衡量傳感器的電容值大小。
評論