功率晶閘管廣泛應用於AC/DC變換器,UPS旁路等場合。本文通過公式計算和在線IPOSIM仿真兩種方式,對晶閘管在UPS旁路應用中的損耗計算和結溫預估進行說明,給廣大工程師在晶閘管選型時提供幫助。晶閘管在AC/DC整流應用中的損耗計算,請參考微信文章《PIM模塊中整流橋的損耗計算》。

晶閘管是半控型電力電子器件,可通過門極在晶閘管承受正向陽極電壓時,控制晶閘管導通,當主迴路電壓(或電流)減小到接近於零時,晶閘管自行關斷。晶閘管一般處於工頻開關工作,所以在計算其損耗時,忽略開關損耗,只計算其導通損耗。
公式計算方法如下:

各參數定義如下:
PVT是單個晶閘管的損耗
VT0是閾值電壓 (threshold voltage)
ITAV是單個晶閘管輸出電流平均值
rT是斜率電阻 (slope resistance)
F是波形因數 (form factor),可由公式2獲得

其中ITRMS是單個晶閘管輸出電流均方根值,即有效值;對於UPS旁路應用中的正弦半波電流,此時 F取值1.571。(參考文後公式4~6)
上圖電路中I1是該相交流電流有效值,ITAV是單個晶閘管的電流平均值,U1為相電壓有效值。
以600kW UPS,輸出電壓400 VAC旁路舉例,分別考慮下述過載規格,125%功率過載10分鐘以及150%功率過載1分鐘,並且以85%輸出電壓作為最惡劣條件。
125%功率過載時,對應的最大相電流有效值為:

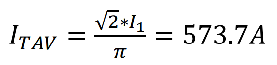
根據公式4計算該單個器件的電流平均值為:

選擇TT820N16KOF和TT600N16KOF作為方案備選,它們的參數如下:

由於只計算單個晶閘管的損耗,RthJC取單個晶閘管的結殼熱阻(per arm,θ=180° sin)。將上述參數代入公式1,並假定器件的殼溫Tcase=85°C,根據公式3即可計算出器件結溫。

對比這兩個方案的計算結溫,TT820N16KOF的結溫裕量有19,TT600N16KOF只有2.5。
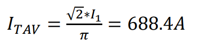
150%功率過載時,對應的最大相電流有效值為:

根據公式4計算該單個器件的電流平均值為:

同上述125%功率過載計算方法一樣,並且由於規格書中的瞬態熱阻在60S時已經穩定,我們可以使用上述表格中的最大RthJC值來計算結溫。


對比這兩個方案的計算結溫,TT820N16KOF的結溫裕量仍然有10℃,TT600N16KOF已經超過最大結溫上限了。顯然,TT820N16KOF是最適合600kW UPS的旁路方案。此類壓接型的晶閘管外觀呈現黑色,有著更高的結溫規格以及更強的抗衝擊電流能力,適合UPS旁路應用。
我們再使用IPOSIM來進行仿真,然後同公式計算結果進行對比。
文章來源:英飛凌工業半導體
請掃描二維碼關注英飛凌工業半導體微信
評論