1.為什麼要進行strain gage測試
1) 在 我們的生產作業當中經常會出現各種作用於產品的 壓力、張力、扭力或者剪應力的制程和操作,因此 隨時存在有導致產品壓傷和損壞的潛在風險。做Strain Gage測試的目的就是把這些潛在的風險控制在最低程度,提高生產質量,減少生產風險,降低生產成本。
2)防止錫裂或者零件破裂
2.因爲板子是受力而變形,那在生産中板彎常見的來源有哪些
1) 主要有ICT治具、切割、操作/組裝 、機構治具和包裝
3.什麼時候需要做應力測試
1) 根本原因分析
當板子上的BGA由於板彎造成過早的錫裂或錫墊脫落的不良時
當由陶瓷表面組成的零件,發生因板彎造成絕緣體材料內部或外部裂開的不良時
2) 預防性的量測
評定ICT & ATE治具和其它一些治具
評估裝箱的設計
評估板子操作程序
評估PCB的切割流程
評估散熱的方案
評估PCA組裝&拆卸的程序
舉例1
舉例2

strian gage如何測試
1.原理框圖
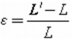
- 由于外力的影响变更本体的尺寸,长度,或者形状等於由于应力产生的本体的形变量

形变量(ε)定义为伸展长度与原始实际长度的比值(ΔL)
在一个基准点起始长度L,经过一个单轴力(F)拉伸后长度(L)
单位
形變量所受的应力可描述为 微应力=微英尺/英尺或 微米/米
实际上,大部分量测的应力都很小
因此, 形变被描述为微应力,
稱爲micro-strain ( με ),
也就是 ε x 10 -6
- 了解strain gage測試力學后
- 我們介紹strain gage測試所用的感應器
由薄的平行的金屬絲或金屬薄片末端環形連接構成,並組裝在有彈性的支架上,它的阻值可隨金屬絲的形變而產生變化。

矩形感應器還分爲平面型(单面)和均匀型
平面型弹片装置
所有量测元件分布在一个平面,以一个普通点为方向

均勻型感應器
由三个单一的量测标准元件以正确的方向安装和压合而成
評論