1. LLC簡介
1.1 LLC 電路的特點
- LLC 轉換器可以在寬負載範圍內實現開關的 ZVS 導通 和 ZCS 關斷。
- 能夠在輸入電壓和負載大範圍變化的情況下調節輸出,同時開關頻率變化相對很小。
- 採用頻率控制,上下管的占空比都為50%.
- 減小次級同步整流MOSFET的電壓應力,可以採用更低的電壓MOSFET從而減少成本。
- 無需輸出電感,可以進一步降低系統成本。
- 採用更低電壓的同步整流MOSFET, 可以進一步提升效率。
1.2 LLC 電路的基本結構以及工作原理
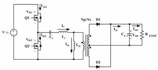
圖1.1和圖1.2分別給出了LLC諧振變換器的典型線路和工作波形。如圖1所示LLC轉換器包括兩個功率MOSFET(Q1和Q2),其占空比都為0.5;諧振電容Cr,副邊匝數相等的中心抽頭變壓器Tr,等效電感Lr,勵磁電感Lm,全波整流二極體D1和D2以及輸出電容Co。

圖1.1 LLC諧振變換器的典型線路

圖1.2 LLC諧振變換器的工作波形
而LLC有兩個諧振頻率,Cr, Lr 決定諧振頻率fr1; 而Lm, Lr, Cr決定諧振頻率fr2。系統的負載變化時會造成系統工作頻率的變化,當負載增加時, MOSFET開關頻率減小, 當負載減小時,開關頻率增大。

【LLC諧振變換器的工作時序】
- 〔t1,t2〕
Q1關斷,Q2導通,電感Lr和Cr進行諧振,次級D1關斷,D2導通,二極體D1約為兩倍輸出電壓,此時能量從Cr, Lr轉換至次級。直到Q2關斷。
- 〔t2,t3〕
Q1和Q2同時關斷,此時處於死區時間, 此時電感Lr, Lm電流給Q2的輸出電容充電,給Q1的輸出電容放電直到Q2輸出電容的電壓等於Vin。次級D1和D2關斷 Vd1=Vd2=0, 當Q1導通時該相位結束。
- 〔t3,t4〕
Q1導通,Q2關斷。D1導通, D2關斷, 此時Vd2=2Vout。Cr和Lr諧振在fr1, 此時Ls的電流通過Q1返回到Vin,直到Lr的電流為零次相位結束。
- 〔t4,t5〕
Q1導通, Q2關斷, D1導通, D2關斷,Vd2=2Vout。Cr和Lr諧振在fr1, Lr的電流反向通過Q1流回功率地。 能量從輸入轉換到次級,直到Q1關斷該相位結束
- 〔t5,t6)
Q1,Q2同時關斷, D1,D2關斷, 原邊電流I(Lr+Lm)給Q1的Coss充電, 給Coss2放電, 直到Q2的Coss電壓為零。 此時Q2二極體開始導通。 Q2導通時相位結束。
- 〔t6,t7〕
Q1關斷,Q2導通,D1關斷, D2 導通,Cr和Ls諧振在頻率fr1, Lr 電流經Q2回到地。 當Lr電流為零時相位結束。
1.3 LLC如何更容易實現ZVS

對於LLC 電路來說死區時間的初始電流為
而LLC能夠實現ZVS必須滿足
而最小勵磁電感為
根據以上3個等式,我們可以通過以下三種方式讓LLC實現ZVS.
第一, 增加Ipk.
第二, 增加死區時間。
第三, 減小等效電容Ceq即Coss.
從以上幾種狀況,我們不難分析出。增加Ipk會增加電感尺寸以及成本,增加死區時間會降低正常工作時的電壓,而最好的選擇無疑是減小Coss,因為減小無須對電路做任何調整,只需要換上一個Coss相對較小MOSFET即可。
2. LLC硬體電路介紹
2.1 半橋LLC與全橋LLC差異

圖2.1 半橋 LLC 拓撲。

圖2.2 全橋 LLC 拓撲。
「半橋LLC」和「全橋LLC」電路上二次側電路是一樣的,但在一側側則有明顯的差異,不過這兩種電路在控制上卻不會有太大的差異。
以上圖來說,半橋LLC 的Q1、Q2開關的佔空比都是50%,且相位相差180度。而在全橋LLC電路的S1、S3的開關訊號就和半橋LLC 的Q1相同;全橋LLC電路的S2、S4的開關訊號就和半橋LLC 的Q2相同,因此在實務上,半橋LLC的開關切換訊號對角複製到另一個半橋,就可以控制全橋LLC。
2.2 同步整流

圖2.3 傳統整流語同步整流電路。
同步整流就是用開關去取代二極體,從拓撲的角度來看,同步整流器的電壓降更低,傳導損耗和開關損耗都更小,能夠提高這些轉換級的效率,在伺服器電源或電訊整流器等低電壓及高電流應用中很常見。
不過,在同步整流方面,低導通阻抗並非電源開關的唯一要求。為了降低驅動損耗,這些元件的閘極電荷也應該很小。軟寄生二極體的反向恢復特性有助於削弱電流突波的峰值,從而降低緩衝電路損耗。另外,還有輸出電荷QOSS和反向恢復電荷Qrr造成的開關損耗。因此,中低電壓MOSFET的關鍵參數如RDS(on)、QG、QOSS、Qrr和反向恢復特性,直接影響到同步整流系統的效率。
3. 參考資料
- MC56F827xx Reference Manual
Document Number: MC56F827XXRM Rev. 3, 10/2013
- MC56F827XX Data Sheet
Document Number MC56F827XXDS Rev. 3.0, 09/2016
- LLC Resonant Converter Design Using MC56F82748
Document Number: DRM172 Rev. 0, 08/2016
- ATU方案:P16-069 OP-Johnny