1.前言:
隨著資訊與科技的快速成長,人們對於電力的需求也愈來愈高,相對地使得人們開始重視電力供需的品質。電力系統供電時隨著負載側阻抗特性之不同,可能導致輸入側之電流產生相位移或畸變,因此必須加入功率因數修正器(Power Factor Corrector,PFC),使得電源輸入電流維持正弦波形並與電源電壓同相位,進而提高有效功率的利用、降低輸入突波電流與抑制輸入電流諧波成份。
在交流/直流轉換器中功率因數(Power Factor,PF) & 總諧波失真(Total Harmonic Distortion,THD)是兩項最主要的考量,因為功率因數&總諧波失真與電源性能有著密不可分的關係,良好的功率因數& 總諧波失真具有可充份利用電源的設備容量、降低峰值電流、抑制諧波成份及延長直流側濾波電容壽命等優點。
2.定義THD:
電流is可以利用傅立葉級數展開成基本波is1與其他各諧波的總和。若電壓vs為一標準的正弦波,則vs可表示為:
(2-1)
其中Vs為vs的有效值,ω1為基本頻。假設電源電流is無直流成份,則is可表示為:
(2-2)
其中ish(t)為第h次諧波,則is(t)可表示為:
(2-3)
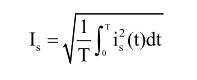
其中Is1為is1的有效值,Ish為ish的有效值,Φ1為vs與is1之間的相位差,ωh為h次頻。因此is的有效值為:
(2-4)
其中T為週期,is的有效值也可表示成(2-5)式:
(2-5)
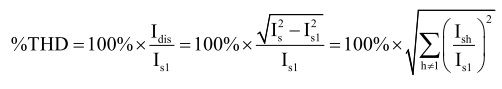
總失真電流成份可由(2-2)式得知:
(2-6)
idis其有效值為:
(2-7)
THD的定義為:
(2-8)
3.定義PF:
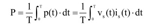
PF之定義為平均功率 (Average Power) P對視在功率 (Apparent Power) S的比值:
(2-9)
平均功率P可由定義求得:
(2-10)
由於
(2-11)
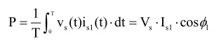
其中a與b為正整數,T為週期,因此只有基本波電流對實功率有所貢獻:
(2-12)
視在功率S的定義則為:
(2-13)
其中Is為電流is的有效值,因此PF值為:
(2-14)
在(2-14)式中,定義位移功率因數(Displacement Power Factor, DPF)為:
(2-15)
因此(2-14)式可改寫為:
(2-16)
將(2-8)式代入(2-16)式,亦可將PF表示為:
(2-17)
4.結論:
由(2-17)式可知,影響功率因數下降的原因有二:一是電源電流is具有諧波成份;二是電源電流is基本波is1與電源電壓vs之間具有相位差,相位差越大,DPF的值越低。因此要提高功率因數,必須降低電源電流的諧波,以及使電源電流與電源電壓的正弦波保持同相。
